본문 바로가기
공학

반도체학과 재학생이 알려주는 반도체의 도핑(doping)

by 알 수 없는 사용자 2022. 8. 19.

안녕하세요. 이번 포스팅에서는 반도체의 전기적 특성을 조절하기 위해 의도적으로 불순물을 첨가하는 도핑에 대해 알아보도록 하겠습니다.


1. 반도체 캐리어

2. 열평형 상태의 캐리어

3. 진성 반도체

4. 도핑과 도펀트

5. 외인성 반도체

6. 외인성 반도체의 페르미 준위

7. 축퇴 반도체


1. 반도체 캐리어

캐리어란, 반도체에 전류가 흐를 수 있도록 전하를 운반하는 것을 말합니다. 캐리어의 종류는 전자(electron)와 정공(hole)이 있습니다. 전자는 많이들 아시는 대로 (-)전하를 가진 캐리어이고, 정공은 전자가 빠져나간 빈 공간을 의미합니다. 정공은 그 의미대로 공간이기 때문에 이동을 하지 않습니다. 하지만, 전자의 움직임으로 인해 마치 공간도 움직이는 것처럼 보이기 때문에 캐리어라고 하는 것입니다. 전자가 빠져나간 공간이므로 정공은 전자와 반대로 (+) 전하를 가지고 있습니다.

 

2. 열평형상태의 캐리어

평형상태의 전도대의 전자 농도는 양자상태 밀도와 전자가 하나의 양자상태에 있을 확률의 곱으로 표현됩니다.

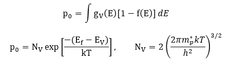
평형상태의 가전자대의 정공 농도 역시 위의 식과 같은 형태로 표현이 됩니다.

이제 열평형상태를 고려해봅시다. 열평형상태의 전자 농도는 전도대의 전자농도 식에 적분을 함으로써 구할 수 있습니다.

또한 파라미터 Nc(전도대의 유효 상태 밀도 함수)를 이용하면 다음과 같이 표현할 수 있습니다.

 

열평형 상태의 정공 농도 역시 가 전자대의 정공 농도에 적분을 하여 구할 수 있습니다.

 

3. 진성 반도체

진성 반도체(intrinsic)란 불순물이 첨가되지 않은 순수한 반도체를 말합니다. 주로 4족 원소인 Si(실리콘)Ge(저마늄)이 있습니다. 이들은 3족 원소나 5족 원소와 결합하여 불순물 반도체가 될 수 있는 기본적인 순수한 반도체입니다.

 

진성 반도체는 전자와 정공의 수가 평형을 이루고 있습니다. 정확히 말하면 전자와 정공의 밀도가 같은 상태인 것인데 반도체에 있는 전자와 정공의 수가 매우 많아 정확히 알 수 없으므로 숫자 대신 밀도로 확인을 하는 것입니다.

 

진성 캐리어의 전자 밀도는 ni라 하고 약 10^10/cm^3의 값을 가지고 있습니다. 앞서 말했듯이 전자와 정공의 밀도가 같으므로 n(전자 밀도)=p(정공 밀도)=ni가 됩니다.

 

진성 반도체의 페르미 준위는 밴드갭의 중앙에 근접해 있습니다.. 진성 반도체는 전자 밀도와 정공 밀도가 같으므로(ni=pi) 다음과 같이 놓을 수 있습니다.

, 진성 반도체의 유효 질량을 고려하여 m*p=m*n이면, 페르미 준위는 밴드갭의 정중앙에 위치하게 됩니다.

 

4. 도핑과 도펀트

반도체에서의 도핑이란 의도적으로 진성 반도체에 불순물을 넣는 행위를 말합니다. 도핑에 사용되는 불순물을 도펀트라 하고 도핑을 하게 되면 외인성 반도체(extrinsic)가 됩니다. 도핑의 정도와 불순물의 종류를 가지고 반도체의 전기적 특성을 조절할 수 있습니다.

 

도펀트의 종류에는 주로 3족과 5족 원소들이 있습니다. 3족 원소에는 B(붕소), Al(알루미늄), Ga(갈륨), In(인듐) 등이 있습니다. 실리콘에 3족 원소들을 첨가하게 되면 3족 원소는 3개의 가전자가 있어 모두 공유결합을 하게 되고 하나의 공유결합 자리가 남게 됩니다. 빈자리에 전자를 채워야 하므로 실리콘 원자의 전자가 이동하여 빈자리가 생기게 됩니다. 이렇게 전자를 받아들이는 3족 원소들을 억셉터(acceptor)라고 합니다.

실리콘 격자 안의 억셉터

5족 원소에는 P(), As(비소), Sb(안티모니) 등이 있습니다. 실리콘에 5족 원소들을 첨가하게 되면 5족 원소들은 5개의 가전자를 가져, 4개는 실리콘과 공유결합을 하고 나머지 하나는 약한 결합을 한 채로 남게 됩니다. 남은 하나의 전자는 결정 내부를 이동하며 전류를 생성시킵니다. 이렇게 전자를 남기는 5족 원소들을 도너(donor)라고 합니다.

실리콘 격자 안의 도너

5. 외인성 반도체

진성 반도체에 불순물을 첨가하여 전기적 특성을 향상한 반도체를 말합니다. 외인성 반도체는 불순물의 종류에 따라 p-typen-type 반도체로 나뉩니다.

 

P-type 반도체는 3족 원소가 불순물로 첨가되어 정공이 다수 캐리어가 되는 반도체입니다. 억셉터가 첨가되면 가전자대 주위에 억셉터 에너지 준위가 형성됩니다. 반도체에 에너지를 가하게 되면 가전자대에 있는 전자가 바로 위에 형성된 억셉터 에너지 준위로 이동하여 가전자대에 정공이 형성됩니다.

p-type 반도체

N-type 반도체는 5족 원소가 불순물로 첨가되어 전자가 다수 캐리어가 되는 반도체입니다. 도너가 첨가되면 전도대 주위에 도너 에너지 준위가 형성됩니다. 반도체에 에너지를 가하게 되면 도너 에너지 준위에 있는 전자가 반응하여 전도대로 올라가게 됩니다. 이로 인해 전도대에 자유전자가 생성되게 됩니다.

n-type 반도체

 

6. 외인성 반도체의 페르미 준위

진성 반도체에 도너와 억셉터 같은 불순물을 첨가하면 전자와 정공의 에너지 분포가 바뀌게 됩니다. 페르미 준위는 분포 함수를 따르므로 페르미 준위도 바뀌게 됩니다.

 

페르미 준위는 전자가 절반이 존재할 확률을 의미합니다. n-type의 경우에는 전자가 다수 캐리어로 존재하고 전도대에 많은 분포를 보이므로 페르미 준위가 전도대 쪽으로 이동합니다. 반면, p-type의 경우에는 정공이 다수 캐리어로 존재하고 가전자대에 많은 분포를 보입니다. 따라서 페르미 준위는 가전자대 쪽으로 이동하게 됩니다.

외인성 반도체의 도핑에 따른 페르미 함수

 

7. 축퇴 반도체

반도체에 도핑을 함에 있어 불순물의 양은 진성 반도체의 원소의 양보다 적다고 가정하고 진행합니다. 적은 양의 불순물은 결정 안에 넓게 퍼져 있어 상호 간에 간섭을 주지 않습니다.

 

하지만, 불순물의 양이 증가하면 상황이 달라집니다. 불순물의 양이 많아지면 어느 순간에는 불순물끼리 상호작용을 하게 될 것입니다. 원자들이 상호작용을 하게 되면 그들의 에너지 밴드가 형성이 되고 그 양이 증가하면 할수록 에너지 밴드의 두께는 두꺼워지게 됩니다. 결국 불순물의 에너지 밴드가 전도대나 가전자대와 겹치게 되면 페르미 준위는 전도대나 가전자대 내부에 존재하게 됩니다. 이러한 형태의 반도체를 축퇴 반도체(degenerate)라 합니다.

에너지 밴드가 축퇴(degenerate)되어 있는 모습

 

이상으로 외인성 반도체를 만드는 도핑이라는 것과 외인성 반도체의 특징 등을 알아보았습니다. 다음 포스팅에서는 외인성 반도체의 두 종류인 n-typep-type 반도체를 접합하는 PN 접합에 대해 알아보도록 하겠습니다.

 

감사합니다.

 

*본 포스팅은 NEAMEN의 반도체 물성과 소자를 참고하여 제작하였습니다.

 


관련 글

반도체학과 재학생이 알려주는 반도체는?

반도체학과 재학생이 알려주는 양자역학의 입문

반도체학과 재학생이 알려주는 슈뢰딩거 파동 방정식

반도체학과 재학생이 알려주는 에너지 밴드

Jungwon Lab 카카오 채널

댓글