본문 바로가기
공학

반도체학과 재학생이 알려주는 슈뢰딩거 파동 방정식

by 알 수 없는 사용자 2022. 8. 18.

안녕하세요. 이번 포스팅에서는 양자역학에서 핵심이 되는 내용인 파동 방정식에 대해 살펴보겠습니다.


1. 슈뢰딩거 파동방정식이란?

2. 시간 무관 방정식

3. 시간 의존 방정식

4. 규격화


1. 슈뢰딩거 파동 방정식이란?

파동 방정식은 말 그대로 파동의 움직임에 대해 기술한 방정식입니다. 파동방정식은 음파, 전자기파 등 일상적인 측면에도 많이 쓰이고 있습니다. 물질의 움직임과 특성을 분석하는데 파동방정식은 아주 편리한 방법 중 하나이죠.

 

그러나 거시 세계의 움직임을 나타내는 고전적인 파동 방정식으로는 미시 세계인 입자의 움직임을 기술하지 못합니다. 이에 따라 파동 방정식의 양자론적 수정이 불가피해지고 1926년 에르빈 슈뢰딩거(Erwin Schrödinger, 1887~1961)에 의해 새로운 파동 방정식이 탄생하게 됩니다.

에르빈 슈뢰딩거 (1887~1961)

슈뢰딩거는 양자화 원리와 파동-입자 이중성을 결합하여 새로운 방정식을 탄생시켰습니다. 이로 인해 이 방정식은 기존에 있던 고전역학의 방정식과는 꽤 많은 차이점을 보이고 있습니다. 우선, 고전역학은 직접적으로 우리가 경험하고 있는 범위에서 적용이 됩니다. , 위치나 운동량 등 거시적인 물체의 움직임을 다룹니다. 하지만 양자역학에서는 미시세계의 입자의 움직임을 표현하길 원합니다. 그로 인해 양자역학에서의 파동 방정식은 각각의 의미에 대한 해석이 필요하게 되고 그 해석으로부터 확률과 같은 결론이 나오게 되는 것입니다. 물론, 양자역학이 물체에 대해 더 근본적인 법칙이기에 파동 방정식으로도 고전역학을 설명하는 것도 가능합니다.

 

슈뢰딩거 파동 방정식의 형태는 크게 시간 의존 방정식시간 무관 방정식으로 되어있습니다. 시간 의존 방정식은 시간 변수 ’t’가 포함되어 있어 시간을 고려해야 하는 방정식이고, 시간 무관 방정식은 몇 가지 가정들을 통해 시간 변수를 고려하지 않은 방정식입니다. 주로 양자역학에서는 시간 독립적인 경우들이 많아 시간 무관 방정식을 다룹니다.

 

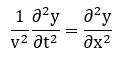
두 개의 슈뢰딩거 파동 방정식의 형태를 보기 전에 먼저 일반적인 고전역학의 파동 방정식부터 살펴봅시다. 파동 방정식은 편미분방정식으로 표현이 됩니다. 2차원 x-y평면에 일정한 속력 v와 시간 t로 움직이는 파동은

으로 표현이 됩니다. 이 방정식의 일반 해는 주로 삼각함수나 지수함수로 표현이 되고 두 함수는 오일러 법칙으로 변환할 수 있습니다. 먼저 삼각함수로 표현된 해를 보면

으로 표현이 되고, 이 해는 지수함수형 태인

으로 표현이 가능합니다. 여기서 A는 진폭, k는 파수, λ는 파장, ω는 각 진동수를 의미하고 있습니다. 이런 기본적인 평면파의 방정식을 바탕으로 슈뢰딩거의 방정식이 전개됩니다.

 

2. 시간 무관 방정식

슈뢰딩거 파동 방정식의 형태는 앞의 파동 방정식과 비슷합니다.

 

전체 에너지(E)는 운동에너지(K.E)와 위치에너지(포텐셜, V)의 합입니다.

드 브로이 관계식(p=kh/2π)에 의해 위 식은 다음과 같이 쓸 수 있습니다.

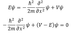
양변에 파동 함수(ψ)를 곱합니다.

앞의 파동 함수의 일반 해를 봅시다. 시간에 대해 무관함을 가정하기 때문에 시간 변수 t를 고려하지 않고 일반 해를 x에 대해 두 번 미분합니다.

지수함수의 특성상 미분을 해도 자기 자신이 도출되는 것을 볼 수 있습니다. 식 (2) 번을 식 (1) 번에 넣어 봅시다.

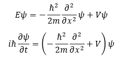
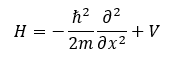
이 식을 시간에 무관한 슈뢰딩거 방정식이라 합니다. 또한 에너지 연산자를 H(해밀 토니 안)이라 하고 해밀 토니 안은

로 나타냅니다.

 

위의 식은 1차원에서의 방정식입니다. 이 식의 3차원 공간은∇^2(라플라 시안)을 이용하여 다음과 같이 쓸 수 있습니다.

 

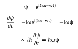
3. 시간 의존 방정식

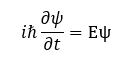
앞에서 한 시간 무관 방정식을 유도할 때에 파동 함수를 위치변수x에 대해 미분을 했습니다. 그와 마찬가지로 시간 의존 방정식을 유도할 때에는 파동함수를 시간 변수 t에 대해 미분을 하면 됩니다.

에너지-파장 관계식인 E=hν=ℏω를 이용해 위의 식을 바꿔줍니다.

이 식을 앞에서 본 다음 식에 대입해주면 시간 의존 방정식을 얻게 됩니다.

4. 규격화

막스 보른(Max Born, 1882~1970)은 파동 함수의 제곱이 확률 밀도 함수가 된다고 가정을 했습니다. 이 가정으로 파동 함수는 확률적 해석을 기반으로 하는 의미를 가지게 됩니다.

 

특정 구간[a, b]에서 입자를 발견할 확률은 파동 함수 크기의 제곱을 특정 구간[a, b]에서 적분한 값이 됩니다.

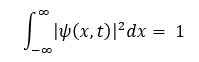
만약, 범위를 전체로 늘려본다면 어떻게 될까요? 범위를 전체로 늘리면 어딘가에서는 입자가 반드시 발견될 것입니다. 그렇다면 전체 구간에 대한 적분 값은 1이 될 것입니다.

슈뢰딩거 방정식의 해가 ψ(x, t)이면 Aψ(x, t)도 해가 될 것입니다(A는 임의의 상수). 위의식에 따라 Aψ(x, t)를 제곱하여 적분한 값이 1이 되게 하는 A값을 찾아야 할 것입니다. 이를 규격화(normalization)’한다고 합니다.

 

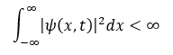
파동 함수의 해를 적분한 값이 발산하는 경우도 존재합니다. 이 경우에는 해를 규격화할 수가 없어서 파동 함수로 사용할 수가 없습니다. 물리적으로 가능한 상태는 무조건 파동 함수의 해가 적분 가능한 상태여야 합니다.

이러한 조건을 만족하는 함수를 ‘제곱 적분 가능한 함수라고 합니다.

 

 

이상으로 지금까지 양자역학의 기본 개념들을 알아보았습니다. 다음 포스팅에서는 반도체의 에너지 밴드 이론을 살펴보겠습니다.

 

감사합니다

 

*본 포스팅은 NEAMEN의 반도체 물성과 소자를 참고하여 제작하였습니다.

 


관련 글

반도체학과 재학생이 알려주는 반도체란?

 

반도체학과 재학생이 알려주는 반도체란?

시리즈들을 통해서 재학중에 배우면서 공부하던 반도체(Semiconductor)에 대해 정리도 해보고 소개를 해드리려고 합니다. 조금 어려운 내용이 있을 수 있지만 상식? 선에서 가볍게 봐주시면 흥미로

jungwonlab.tistory.com

반도체학과 재학생이 알려주는 양자역학 입문

 

반도체학과 재학생이 알려주는 양자역학 입문

안녕하세요. 이번 포스팅에서는 반도체의 구조와 원리를 이해하기 위해서 선행되어야 하는 몇 가지 이론 중 양자역학에 대한 이론을 다뤄보도록 하겠습니다. 처음 접하신 분들은 다소 어려운

jungwonlab.tistory.com

반도체학과 재학생이 알려주는 슈뢰딩거 파동 방정식

 

반도체학과 재학생이 알려주는 슈뢰딩거 파동 방정식

안녕하세요. 이번 포스팅에서는 양자역학에서 핵심이 되는 내용인 파동 방정식에 대해 살펴보겠습니다. 1. 슈뢰딩거 파동방정식이란? 2. 시간 무관 방정식 3. 시간 의존 방정식 4. 규격화 1. 슈뢰

jungwonlab.tistory.com

반도체학과 재학생이 알려주는 에너지 밴드

 

반도체학과 재학생이 알려주는 에너지 밴드

안녕하세요. 이번 포스팅에서는 반도체 에너지 밴드에 대한 이론을 살펴보겠습니다. 모든 물질은 에너지 밴드라는 띠를 가지게 됩니다. 물질은 각자의 에너지 밴드를 가지고 있습니다. 반도체

jungwonlab.tistory.com

반도체학과 재학생이 알려주는 페르미 에너지

 

반도체학과 재학생이 알려주는 페르미 에너지

안녕하세요. 이번 포스팅에서는 입자의 거동을 알아보는 통계적 방법 중 하나인 페르미-디랙 확률함수와 그에 따른 페르미 에너지에 대해 알아보도록 하겠습니다. 반도체는 전자와 정공 같은

jungwonlab.tistory.com

반도체학과 재학생이 알려주는 반도체의 도핑(doping)

 

반도체학과 재학생이 알려주는 반도체의 도핑(doping)

안녕하세요. 이번 포스팅에서는 반도체의 전기적 특성을 조절하기 위해 의도적으로 불순물을 첨가하는 도핑에 대해 알아보도록 하겠습니다. 1. 반도체 캐리어 2. 열평형 상태의 캐리어 3. 진성

jungwonlab.tistory.com

반도체학과 재학생이 알려주는 PN 접합과 다이오드

 

반도체학과 재학생이 알려주는 PN 접합과 다이오드

안녕하세요. 이번 포스팅에서는 PN 접합과 다이오드에 대해 알아보겠습니다. PN 접합은 반도체의 접합 중 기본적인 형태의 접합으로 P-type 반도체와 N-type 반도체를 접합한 형태를 가지고 있습니

jungwonlab.tistory.com

반도체학과 재학생이 알려주는 MS 접합

 

반도체학과 재학생이 알려주는 MS 접합

안녕하세요. 이번 포스팅에서는 반도체의 접합 중 금속과 결합시키는 접합인 MS 접합에 대해 알아보도록 하겠습니다. 1. MS 접합이란? 2. 쇼트키 접촉 (Schottky contact) 3. 저항 접촉 (Ohmic contact) 4. Carri

jungwonlab.tistory.com

반도체학과 재학생이 알려주는 LED

 

반도체학과 재학생이 알려주는 LED

안녕하세요. 이번 포스팅에서는 현대 사회의 많은 곳에서 사용되고 있는 반도체 소자 중 하나인 발광 다이오드에 대해 알아보도록 하겠습니다. 1. 발광 다이오드란? 2. 직접천이, 간접천이 3. 재

jungwonlab.tistory.com

반도체학과 재학생이 알려주는 트랜지스터

 

반도체학과 재학생이 알려주는 트랜지스터

안녕하세요. 저번 6장, 7장 포스팅에서 반도체의 기본적인 접합에 대해 살펴보았습니다. 이번 포스팅에서는 반도체의 접합을 이용한 반도체소자 중 다이오드와 함께 반도체소자를 대표하는 트

jungwonlab.tistory.com

반도체학과 재학생이 알려주는 MOSFET

 

반도체학과 재학생이 알려주는 MOSFET

안녕하세요. 저번 8장 포스팅에서 트랜지스터에 대해 알아보았습니다. 트랜지스터에는 크게 BJT와 FET가 있고 또 여기서 FET는 여러 종류가 있습니다. 이번 포스팅에서는 여러 FET 중 금속 산화막

jungwonlab.tistory.com

 

Jungwon Lab 카카오 채널

댓글